欢迎光临:莱耀标准品网!
 您的位置:对照品 > 标准品 > 分析标准品 >
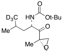
[(1S)-3-Methyl-1-[[(2S)-2-methyloxiranyl]carbonyl]butyl]-carbamic Acid 1,1-Dimethylethyl E
产品基本信息
产品编号:M320447
产品名称:[(1S)-3-Methyl-1-[[(2S)-2-methyloxiranyl]carbonyl]butyl]-carbamic Acid 1,1-Dimethylethyl E
产品CAS:
规格含量:10mg
产品价格:面议
联系我们:
产品详细介绍
标准品编号: M320447
名称: [(1S)-3-Methyl-1-[[(2S)-2-methyloxiranyl]carbonyl]butyl]-carbamic Acid 1,1-Dimethylethyl Ester-d3
别名: N-[(1S)-3-Methyl-1-[[(2S)-2-methyl-2-oxiranyl]carbonyl]butyl]-carbamic Acid 1,1-Dimethylethyl Ester-d3
参考CAS号: 247068-83-3 unlabelled
分子式: C₁₄H₂₂D₃NO₄
分子量: 274.37
种类: Building Blocks; Isotopic Labeled Analogues;
应用: [(1S)-3-Methyl-1-[[(2S)-2-methyloxiranyl]carbonyl]butyl]-carbamic Acid 1,1-Dimethylethyl Ester-d3 is the isotope labelled analog of [(1S)-3-Methyl-1-[[(2S)-2-methyloxiranyl]carbonyl]butyl]-carbamic Acid 1,1-Dimethylethyl Ester. [(1S)-3-Methyl-1-[[(2S)-2-methyloxiranyl]carbonyl]butyl]-carbamic Acid 1,1-Dimethylethyl Ester is a reagent in the synthesis of proteasome inhibitor epoxomicin, which has antitumor, antiinflammatory and antibiotic properties.
参考文献


2011-2018 信阳莱耀生物科技有限公司 @ 信阳埃尔文生物科技有限公司版权所有

中检所标准品,对照品,标准气体
Keywords: 中检所标准品 对照品 标准气体