您的位置:对照品 > 标准品 > 分析标准品 >
产品基本信息
产品编号:M260983
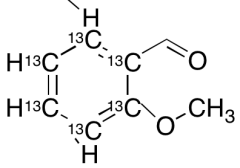
产品名称:2-Methoxybenzaldehyde-13C6
产品CAS:
规格含量:5mg
产品价格:面议
联系我们:
产品详细介绍
标准品编号:
M260983
名称:
2-Methoxybenzaldehyde-13C6
别名:
o-Anisaldehyde-13C6; 2-(Methyloxy)benzaldehyde-13C6; 2-Anisaldehyde-13C6; 2-Methoxybenzaldehyde-13C6; 2-Methoxybenzenecarboxaldehyde-13C6; 2-Methoxyphenylformaldehyde-13C6; 6-Methoxybenzaldehyde;-13C6 NC 064-13C6; NSC 58960-13C6; Salicylaldehyde Methyl Ether-13C6; o-Formylanisole-13C6; o-Methoxybenzaldehyde-13C6;
参考CAS号:
135-02-4
分子式:
C₂¹³C₆H₈O₂
分子量:
142.1
种类:
Building Blocks; Isotopic Labeled Analogues;
应用:
2-Methoxybenzaldehyde-13C6 is an intermediate used in the synthesis of Homovanillic Acid-13C6 (H669503), which is a neuroendocrine tumor marker. A Labelled metabolite of Dihydroxyphenylacetic Acid (DOPAC).
参考文献
Yamamoto, K., et al.: J. Clin. Oncol., 16, 1265 (1998), Meijer, W., et al.: Clin. Chem., 46, 1588 (2000), Ilias, I., et al.: Horm. Metab. Res., 37, 717 (2005), Boyle, J., et al.: J. Clin. Endocrinol. Metab., 92, 4602 (2007),