欢迎光临:莱耀标准品网!
 您的位置:对照品 > 标准品 > 分析标准品 >
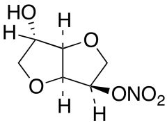
Isosorbide 5-Mononitrate (1.0 mg/mL in Dimethyl Sulfoxide)
产品基本信息
产品编号:KIT8290
产品名称:Isosorbide 5-Mononitrate (1.0 mg/mL in Dimethyl Sulfoxide)
产品CAS:16051-77-7
规格含量:
产品价格:面议
联系我们:
产品详细介绍
标准品编号: KIT8290
名称: Isosorbide 5-Mononitrate (1.0 mg/mL in Dimethyl Sulfoxide)
CAS号: 16051-77-7
分子式: C₆H₉NO₆
分子量: 191.14
种类: Standards; Pharmaceutical/API Drug Impurities/Metabolites; Solutions; Kits;
应用: A metabolite of Isosorbide Dinitrate. Used as an antianginal.
参考文献


2011-2018 信阳莱耀生物科技有限公司 @ 信阳埃尔文生物科技有限公司版权所有

中检所标准品,对照品,标准气体
Keywords: 中检所标准品 对照品 标准气体