欢迎光临:莱耀标准品网!
 您的位置:对照品 > 标准品 > 分析标准品 >
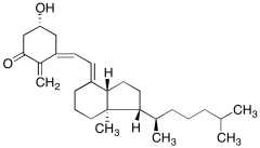
1-Keto-vitamin D3
产品基本信息
产品编号:K315950
产品名称:1-Keto-vitamin D3
产品CAS:86307-40-6
规格含量:2.5mg
产品价格:面议
联系我们:
产品详细介绍
标准品编号: K315950
名称: 1-Keto-vitamin D3
别名: (3β,5Z,7E)-3-Hydroxy-9,10-secocholesta-5,7,10(19)-trien-1-one;
CAS号: 86307-40-6
分子式: C₂₇H₄₂O₂
分子量: 398.62
种类: Standards; Chiral Molecules; Vitamin Derivatives; Vitamin D Derivatives;
应用: 1-Keto-vitamin D3 is derived from Vitamin D3 (V676045), which is the vitamin that mediates intestinal calcium absorbtion, bone calcium metabolism and probably, muscle activity. It occurs in and is isolated from fish liver oils. Vitamin D acts through a receptor that is a member of the ligand-dependent transcription factor superfamily. It modulates the proliferation and differentiation of both normal and cancer cells. It also has antiproliferative and antimetastatic effects on breast, colon, and prostate cancer cells. Activated vitamin D receptors in intestine and bone maintain calcium absorbance and homeostasis.
参考文献


2011-2018 信阳莱耀生物科技有限公司 @ 信阳埃尔文生物科技有限公司版权所有

中检所标准品,对照品,标准气体
Keywords: 中检所标准品 对照品 标准气体