欢迎光临:莱耀标准品网!
 您的位置:对照品 > 标准品 > 分析标准品 >
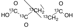
α-Ketoglutaric Acid-13C5
产品基本信息
产品编号:K191212
产品名称:α-Ketoglutaric Acid-13C5
产品CAS:161096-83-9
规格含量:2.5mg
产品价格:面议
联系我们:
产品详细介绍
标准品编号: K191212
名称: α-Ketoglutaric Acid-13C5
别名: 2-Oxopentanedioic Acid-13C5; 2-Oxoglutarate-13C5; 2-Ketoglutaric acid--13C5;
CAS号: 161096-83-9
参考CAS号: Unlabelled: 328-50-7
分子式: ¹³C₅H₆O₅
分子量: 151.06
种类: Building Blocks; Catalyst;
应用: α-Ketoglutaric Acid-13C5 is a labelled analogue of α-Ketoglutaric Acid, a key intermediate in the kreb cycle. α-Ketoglutaric Acid is a useful reagent, reactant and cataylst in various fields ranging from biological, organic, analytical, nano-field, and many more.
参考文献


2011-2018 信阳莱耀生物科技有限公司 @ 信阳埃尔文生物科技有限公司版权所有

中检所标准品,对照品,标准气体
Keywords: 中检所标准品 对照品 标准气体