欢迎光临:莱耀标准品网!
 您的位置:对照品 > 标准品 > 分析标准品 >
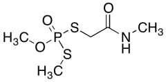
Isodimethoate
产品基本信息
产品编号:I815085
产品名称:Isodimethoate
产品CAS:04/11/3344
规格含量:100mg
产品价格:面议
联系我们:
产品详细介绍
标准品编号: I815085
名称: Isodimethoate
别名: O,S-Dimethyl S-(2-(Methylamino)-2-oxoethyl) Phosphorodithioate; 2-Mercapto-N-methyl-acetamide S-Ester with O,S-Dimethyl Phosphorodithioate; O,S-Dimethyl S-[2-(Methylamino)-2-oxoethyl] Ester Phosphorodithioic Acid; O,S-Dimethyl Ester, S-Ester with 2-Mercapto-N-methylacetamide Phosphorodithioic Acid;
CAS号: 04/11/3344
分子式: C₅H₁₂NO₃PS₂
外观: Colourless Oil
分子量: 229.26
储存: Hygroscopic, 冰箱, under inert atmosphere
溶解度: Chloroform (Slightly)
种类: Standards; Pharmaceutical/API Drug Impurities/Metabolites;
应用: Isodimethoate is an isomer of Dimethoate (D460505), which is an organophosphate insecticide. Isodimethoate is present in usual pesticide formulations of Dimethoate that is anticholinesterase which disables cholinesterase, an enzyme essential for central nervous system function and thus is neurotoxic for humans. Isodimethoate reacts with human red blood cell acetylcholinesterase (AChE) rendering part of AChE making it non-reactivatable.
危险品: Not a dangerous good if item is equal to or less than 1g/ml and there is less than 100g/ml in the package
参考文献


2011-2018 信阳莱耀生物科技有限公司 @ 信阳埃尔文生物科技有限公司版权所有

中检所标准品,对照品,标准气体
Keywords: 中检所标准品 对照品 标准气体