欢迎光临:莱耀标准品网!
 您的位置:对照品 > 标准品 > 分析标准品 >
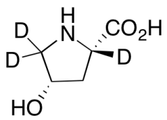
cis-4-Hydroxy-L-proline-d3 (Major)
产品基本信息
产品编号:H952379
产品名称:cis-4-Hydroxy-L-proline-d3 (Major)
产品CAS:
规格含量:50mg
产品价格:面议
联系我们:
产品详细介绍
标准品编号: H952379
名称: cis-4-Hydroxy-L-proline-d3 (Major)
别名: (4S)-4-Hydroxy-L-proline-d3; (2S,4S)-4-Hydroxyproline-d3; (S)-Allo-hydroxyproline-d3; (2S,4S)-4-Hydroxypyrrolidine-2-carboxylic-d3 Acid; L-Allohydroxyproline-d3; cis-4-Hydroxyproline-d3; cis-Hydroxyproline-d3;
参考CAS号: 类似: 618-27-9
分子式: C₅H₆D₃NO₃
外观: 白色至白色固体
熔点: >200ºC (dec.)
分子量: 134.15
储存: Hygroscopic, 冰箱, under inert atmosphere
溶解度: Water (Slightly)
稳定性: Hygroscopic
种类: Building Blocks; Chiral Molecules; Isotopic Labeled Analogues;
应用: cis-4-Hydroxy-L-proline-d3 is deuterium labelled cis-4-Hydroxy-L-proline (H952375). Hydroxyprolines are valuable chiral building blocks for organic synthesis of pharmaceuticals. Several microorganisms producing proline trans-4- and cis-3-hydroxylase were discovered and these enzymes were applied to the industrial production of trans-4- and cis-3-hydroxy-L-proline.
参考文献


2011-2018 信阳莱耀生物科技有限公司 @ 信阳埃尔文生物科技有限公司版权所有

中检所标准品,对照品,标准气体
Keywords: 中检所标准品 对照品 标准气体