欢迎光临:莱耀标准品网!
 您的位置:对照品 > 标准品 > 分析标准品 >
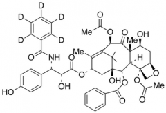
3’-p-Hydroxy Paclitaxel-d5
产品基本信息
产品编号:H948897
产品名称:3’-p-Hydroxy Paclitaxel-d5
产品CAS:
规格含量:1mg
产品价格:面议
联系我们:
产品详细介绍
标准品编号: H948897
名称: 3’-p-Hydroxy Paclitaxel-d5
参考CAS号: 类似: 132160-32-8
分子式: C₄₇H₄₆D₅NO₁₅
外观: 白色至Pale Pink Solid
分子量: 874.94
储存: -20˚C Freezer
溶解度: Chloroform (Slightly), Methanol (Slightly)
种类: Standards; Chiral Molecules; Isotopic Labeled Analogues; Pharmaceutical/API Drug Impurities/Metabolites;
应用: A labelled metabolite of Paclitaxel; a phase I pharmacokinetic study in patients with solid tumors.
参考文献


2011-2018 信阳莱耀生物科技有限公司 @ 信阳埃尔文生物科技有限公司版权所有

中检所标准品,对照品,标准气体
Keywords: 中检所标准品 对照品 标准气体