欢迎光临:莱耀标准品网!
 您的位置:对照品 > 标准品 > 分析标准品 >
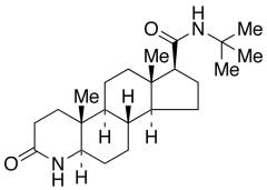
Dihydro Finasteride
产品基本信息
产品编号:D448975
产品名称:Dihydro Finasteride
产品CAS:98319-24-5
规格含量:25mg
产品价格:面议
联系我们:
产品详细介绍
标准品编号: D448975
名称: Dihydro Finasteride
别名: (4aR,4bS,6aS,7S,9aS,9bS,11aR)-N-(1,1-Dimethylethyl)hexadecahydro-4a,6a-dimethyl-2-oxo-1H-indeno[5,4-f]quinoline-7-carboxamide; Dihydroproscar; (5α,17β)-N-(1,1-Dimethylethyl)-3-oxo-4-azaandrostane-17-carboxamide; [4aR-(4aα,4bβ,6aα,7α,9aβ,9bα,11aβ)]-N-(1,1-Dimethylethyl)hexadecahydro-4a,6a-dimethyl-2-oxo-1H-indeno[5,4-f]quinoline-7-carboxamide; 1,2-Dihydrofinasteride; 3-Oxo-4-aza-5α-androstan-17β-carboxylic acid N-(tert-butyl)amide; N-(tert-Butyl)-3-oxo-4-aza-5α-androstane-17β-carboxamide; Finasteride EP Impurity A
杂质: Finasteride EP Impurity A
CAS号: 98319-24-5
分子式: C₂₃H₃₈N₂O₂
外观: 白色固体
熔点: >259°C (dec.)
分子量: 374.56
储存: 冰箱保存
溶解性: Chloroform, Methanol
种类: Standards; Steroids; Enzyme Activators and Inhibitors; Pharmaceutical/API Drug Impurities/Metabolites;
应用: Dihydro Finasteride (Finasteride EP Impurity A) is the reduced product of Finasteride (F342000): a mechanism-based inhibitor of human prostate and skin steroid 5α-reductase. It forms an enzyme-bound NADP-dihydrofinasteride adduct during this inhibitory process.
参考文献


2011-2018 信阳莱耀生物科技有限公司 @ 信阳埃尔文生物科技有限公司版权所有

中检所标准品,对照品,标准气体
Keywords: 中检所标准品 对照品 标准气体