您的位置:对照品 > 标准品 > 分析标准品 > |
|
|
|
| 产品基本信息 |
|
| 产品编号:D446380 |
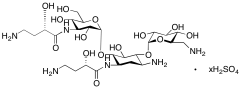
| 产品名称:1,3’’-Di-HABA Kanamycin A Sulfate |
| 产品CAS: |
| 规格含量:10mg |
| 产品价格:面议 |
| 联系我们: |
|
|
|
|
|
| 产品详细介绍 |
| 标准品编号: |
D446380 |
| 名称: |
1,3’’-Di-HABA Kanamycin A Sulfate |
| 别名: |
O-6-Amino-6-deoxy-α-D-glucopyranosyl-(1→4)-O-[3-[[(2S)-4-amino-2-hydroxy-1-oxobutyl]amino]-3-deoxy-α-D-glucopyranosyl-(1→6)]-N1-[(2S)-4-amino-2-hydroxy-1-oxobutyl]-2-deoxy-D-streptamine Sulfate; 1,3"-Di-N-(L-4-amino-2-hydroxybutyryl) Kanamycin A Sulfate |
| 参考CAS号: |
197909-66-3 free amine |
| 分子式: |
C₂₆H₅₀N₆O₁₅ xH₂SO₄ |
| 外观: |
白色固体 |
| 熔点: |
>167°C (dec.) |
| 分子量: |
686.71 |
| 储存: |
Hygroscopic, 冰箱保存, under inert atmosphere |
| 溶解性: |
Water (Slightly) |
| 种类: |
Standards; Pharmaceutical/API Drug Impurities/Metabolites; Carbohydrates and Oligosaccharides; |
| 应用: |
Kanamycin (K137500) derivative as synthetic byproduct of Amikacin (A578500). |
| 参考文献 |
|
|
|
|
|
|
|
|