欢迎光临:莱耀标准品网!
 您的位置:对照品 > 标准品 > 分析标准品 >
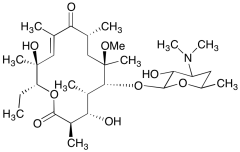
(10E)-3-O-De(α-L-cladinose)-10-dehydro-11-dehydroxy-6-O-methyl-erythromycin
产品基本信息
产品编号:D297540
产品名称:(10E)-3-O-De(α-L-cladinose)-10-dehydro-11-dehydroxy-6-O-methyl-erythromycin
产品CAS:198782-59-1
规格含量:10 mg
产品价格:面议
联系我们:
产品详细介绍
标准品编号: D297540
名称: (10E)-3-O-De(α-L-cladinose)-10-dehydro-11-dehydroxy-6-O-methyl-erythromycin
别名: (10E)-3-O-De(2,6-dideoxy-3-C-methyl-3-O-methyl-α-L-ribo-hexopyranosyl)-10,11-didehydro-11-deoxy-6-O-methyl-erythromycin
CAS号: 198782-59-1
分子式: C₃₀H₅₃NO₉
外观: Light Brown Solid
熔点: 107-110°C
分子量: 571.74
储存: 冰箱保存
溶解性: Chloroform (Slightly), Methanol (Slightly)
种类: Standards; Pharmaceutical/API Drug Impurities/Metabolites;
应用: Erythromycin (E649950) derivative.
参考文献


2011-2018 信阳莱耀生物科技有限公司 @ 信阳埃尔文生物科技有限公司版权所有

中检所标准品,对照品,标准气体
Keywords: 中检所标准品 对照品 标准气体