欢迎光临:莱耀标准品网!
 您的位置:对照品 > 标准品 > 分析标准品 >
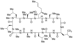
Cyclosporin AM 4N-D3
产品基本信息
产品编号:C989412
产品名称:Cyclosporin AM 4N-D3
产品CAS:
规格含量:5mg
产品价格:面议
联系我们:
产品详细介绍
标准品编号: C989412
名称: Cyclosporin AM 4N-D3
别名: 9-L-Leucinecyclosporin VIP(LA)D3; 1,4,7,10,13,16,19,22,25,28,31-Undecaazacyclotritriacontane-D3 Cyclic Peptide Deriv.; AM 4N-D3; Cyclosporin VIP(LA)D3 Metabolite 21; M 21-D3; OL 21-D3; [Leu4]cyclosporin-D3
参考CAS号: 未标记:89270-23-5
分子式: C₆₁H₁₀₆D₃N₁₁O₁₂
分子量: 1191.6
种类: Standards; Phenethylamines/Amphetamines;
应用: Cyclosporin AM 4N-D3 is a labelled derivative of Cyclosporin AM 4N (C989410). Cyclosporin AM 4N is a metabolite of Cyclosporin A (C988900), a hydrophobic cyclic undecapeptide that is used as a potent immunosuppressive agent that has application in human organ transplantation. Cyclosporin A works by inhibiting subsets of T lymphocytes to facilitate organ transplantation.
参考文献


2011-2018 信阳莱耀生物科技有限公司 @ 信阳埃尔文生物科技有限公司版权所有

中检所标准品,对照品,标准气体
Keywords: 中检所标准品 对照品 标准气体