欢迎光临:莱耀标准品网!
 您的位置:对照品 > 标准品 > 分析标准品 >
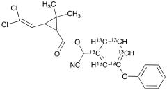
Cypermethrin-phenoxy-13C6
产品基本信息
产品编号:C989001
产品名称:Cypermethrin-phenoxy-13C6
产品CAS:
规格含量:2.5mg
产品价格:面议
联系我们:
产品详细介绍
标准品编号: C989001
名称: Cypermethrin-phenoxy-13C6
参考CAS号: 52315-07-8
分子式: C₁₆¹³C₆H₁₉Cl₂NO₃
分子量: 422.25
种类: Standards; Isotopic Labeled Analogues; Environmental Standards, Mutagens and Metabolites;
应用: is a labelled form of Cypermethrin (C989000) which is a synthetic pyrethroid insecticide, usually exists as a mixture of cis and trans isomers. Used as a standard for Pesticide detection. Cypermethrin is also useful in cannabis testing kits as a component in pesticide mixes (P698230).
参考文献


2011-2018 信阳莱耀生物科技有限公司 @ 信阳埃尔文生物科技有限公司版权所有

中检所标准品,对照品,标准气体
Keywords: 中检所标准品 对照品 标准气体