欢迎光临:莱耀标准品网!
 您的位置:对照品 > 标准品 > 欧洲药典标准品 >
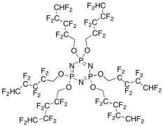
2,2,4,4,6,6-Hexakis[(2,2,3,3,4,4,5,5-octafluoropentyl)oxy]-2λ5,4λ5,6
产品基本信息
产品编号:H293970
产品名称:2,2,4,4,6,6-Hexakis[(2,2,3,3,4,4,5,5-octafluoropentyl)oxy]-2λ5,4λ5,6
产品CAS:16059-16-8
规格含量:10mg
产品价格:面议
联系我们:
产品详细介绍
标准品编号: H293970
名称: 2,2,4,4,6,6-Hexakis[(2,2,3,3,4,4,5,5-octafluoropentyl)oxy]-2λ5,4λ5,6λ5-1,3,5,2,4,6-triazatriphosphorine
别名: 2,2,4,4,6,6-Hexahydro-2,2,4,4,6,6-hexakis[(2,2,3,3,4,4,5,5-octafluoropentyl)oxy]-1,3,5,2,4,6-triazatriphosphorine; 2,2,4,4,6,6-Hexahydro-2,2,4,4,6,6-hexakis[(2,2,3,3,4,4,5,5-octafluoropentyl)oxy]-1,3,5,2,4,6-triazatriphosphorine; Hexakis(1,1,5-hydroperfluoropentoxy)cyclotriphosphazene; Phospharol NF 100; X 100; X 100 (lubricant)
CAS号: 16059-16-8
分子式: C₃₀H₁₈F₄₈N₃O₆P₃
外观: Colorless Oil
分子量: 1521.33
储存: Hygroscopic, -20°C Freezer, Under inert atmosphere
溶解度: Chloroform (Slightly), Methanol (Slightly)
稳定性: Hygroscopic
种类: Building Blocks; Miscellaneous;
应用: 2,2,4,4,6,6-Hexakis[(2,2,3,3,4,4,5,5-octafluoropentyl)oxy]-2λ5,4λ5,6λ5-1,3,5,2,4,6-triazatriphosphorine is a component of Ultramark 1621 which is a useful calibration compound for negative and positive ion fast-atom bombardment (FAB) high-resolution mass spectrometry.
参考文献


2011-2018 信阳莱耀生物科技有限公司 @ 信阳埃尔文生物科技有限公司版权所有

中检所标准品,对照品,标准气体
Keywords: 中检所标准品 对照品 标准气体