您的位置:对照品 > 标准品 > 欧洲药典标准品 > |
|
|
|
| 产品基本信息 |
|
| 产品编号:G601490 |
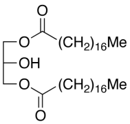
| 产品名称:Glyceryl 1,3-Distearate |
| 产品CAS:504-40-5 |
| 规格含量:100mg |
| 产品价格:面议 |
| 联系我们: |
|
|
|
|
|
| 产品详细介绍 |
| 标准品编号: |
G601490 |
| 名称: |
Glyceryl 1,3-Distearate |
| 别名: |
Octadecanoic Acid 2-Hydroxy-1,3-Propanediyl Ester; 1,3-di-Stearin; 1,3-Di-O-stearoylglycerol; 1,3-Distearin; 1,3-Distearoylglycerin; 1,3-Distearoylglycerol; Glycerin 1,3-Distearate; Glycerol 1,3-Distearate; Glyceryl 1,3-Distearate; NSC 404229; Stearic Acid Diglycerin Ester; sn-1,3-Distearoylglycerol |
| CAS号: |
504-40-5 |
| 分子式: |
C₃₉H₇₆O₅ |
| 外观: |
白色至白色固体 |
| 熔点: |
70-73ºC |
| 分子量: |
625.02 |
| 储存: |
-20°C Freezer |
| 溶解度: |
Chloroform (Slightly), Methanol (Slightly, Heated) |
| 种类: |
Standards; Lipids/Fatty Acids, Glycerol Derivatives; |
| 应用: |
Glyceryl derivative. |
| 参考文献 |
|
|
|
|
|
|