欢迎光临:莱耀标准品网!
 您的位置:对照品 > 标准品 > 欧洲药典标准品 >
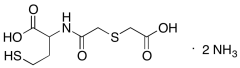
Erdosteine Thioacid Diammonium Salt
产品基本信息
产品编号:E596060
产品名称:Erdosteine Thioacid Diammonium Salt
产品CAS:
规格含量:250mg
产品价格:面议
联系我们:
产品详细介绍
标准品编号: E596060
名称: Erdosteine Thioacid Diammonium Salt
别名: N-[[(Carboxymethyl)thio]acetyl]homocysteine Diammonium Salt
参考CAS: free acid: 121213-21-6
分子式: C₈H₁₉N₃O₅S₂
外观: 白色至白色固体
熔点: 132 - 134°C
分子量: 301.38
储存: Hygroscopic, 冰箱保存, under inert atmosphere
溶解度: DMSO (Slightly, Heated), Methanol (Slightly), Water (Slightly)
稳定性: Too Hygroscopic
种类: Building Blocks; Pharmaceutical/API Drug Impurities/Metabolites;
应用: Erdosteine Thioacid Diammonium Salt is the active metabolite of Erdosteine (E596050), a mucolytic. Erdosteine was developed for the treatment of chronic obstructive bronchitis.
参考文献


2011-2018 信阳莱耀生物科技有限公司 @ 信阳埃尔文生物科技有限公司版权所有

中检所标准品,对照品,标准气体
Keywords: 中检所标准品 对照品 标准气体