欢迎光临:莱耀标准品网!
 您的位置:对照品 > 标准品 > 欧洲药典标准品 >
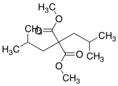
Dimethyl 2,2-Diisobutylmalonate
产品基本信息
产品编号:D481228
产品名称:Dimethyl 2,2-Diisobutylmalonate
产品CAS:1229311-50-5
规格含量:500mg
产品价格:面议
联系我们:
产品详细介绍
标准品编号: D481228
名称: Dimethyl 2,2-Diisobutylmalonate
CAS号: 1229311-50-5
分子式: C₁₃H₂₄O₄
分子量: 244.33
种类: Building Blocks; Miscellaneous;
应用: Dimethyl 2,2-diisobutylmalonate (cas# 1229311-50-5) is a useful research chemical.
参考文献


2011-2018 信阳莱耀生物科技有限公司 @ 信阳埃尔文生物科技有限公司版权所有

中检所标准品,对照品,标准气体
Keywords: 中检所标准品 对照品 标准气体