欢迎光临:莱耀标准品网!
 您的位置:对照品 > 标准品 > 欧洲药典标准品 >
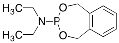
N,N-Diethyl-1,5-dihydro-2,4,3-benzodioxaphosphepin-3-amine (Technical Grade)
产品基本信息
产品编号:D443806
产品名称:N,N-Diethyl-1,5-dihydro-2,4,3-benzodioxaphosphepin-3-amine (Technical Grade)
产品CAS:82372-35-8
规格含量:100mg
产品价格:面议
联系我们:
产品详细介绍
标准品编号: D443806
名称: N,N-Diethyl-1,5-dihydro-2,4,3-benzodioxaphosphepin-3-amine (Technical Grade)
别名: 3-Diethylamino-1,5-dihydro-2,4,3-benzodioxaphosphepin; N,N-Diethyl-1,5-dihydrobenzo[e][1,3,2]dioxaphosphepin-3-amine; o-Xylylene N,N-diethylphosphoramidite;
CAS号: 82372-35-8
分子式: C₁₂H₁₈NO₂P
分子量: 239.25
种类: Building Blocks; Miscellaneous;
应用: N,N-Diethyl-1,5-dihydro-2,4,3-benzodioxaphosphepin-3-amine is a phosphitylating reagent for organic reactions.
参考文献


2011-2018 信阳莱耀生物科技有限公司 @ 信阳埃尔文生物科技有限公司版权所有

中检所标准品,对照品,标准气体
Keywords: 中检所标准品 对照品 标准气体