欢迎光临:莱耀标准品网!
 您的位置:对照品 > 标准品 > 欧洲药典标准品 >
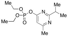
Diazoxon
产品基本信息
产品编号:D416890
产品名称:Diazoxon
产品CAS:962-58-3
规格含量:250mg
产品价格:面议
联系我们:
产品详细介绍
标准品编号: D416890
名称: Diazoxon
别名: Phosphoric Acid Diethyl 6-methyl-2-(1-methylethyl)-4-pyrimidinyl Ester; Diethyl 2-isopropyl-6-methyl-4-pyrimidinyl phosphate; Diazinon Oxon; Oxodiazinon; O,O-Diethyl O-(2-isopropyl-6-methyl-4-pyrimidinyl) Phosphate; O,O-Diethyl-O-(2-isopropyl-4-methylpyrimidyl-6) Phosphate;
CAS号: 962-58-3
分子式: C₁₂H₂₁N₂O₄P
外观: Colourless to Yellow Oil
熔点: N/A
分子量: 288.28
储存: Hygroscopic, 冰箱保存, under inert atmosphere
溶解性: Chloroform (Slightly), Methanol (Slightly)
种类: Research Tools; Enzyme Activators and Inhibitors; Pharmaceutical/API Drug Impurities/Metabolites;
应用: Diazoxon, is the oxidized form of Diazinon (D416880), an organophosphate insecticide. Diazoxon, is shown to be a more potent acetylcholinesterase (AChE) inhibitor.
危险品: Not a dangerous good if item is equal to or less than 1g/ml and there is less than 100g/ml in the package
参考文献


2011-2018 信阳莱耀生物科技有限公司 @ 信阳埃尔文生物科技有限公司版权所有

中检所标准品,对照品,标准气体
Keywords: 中检所标准品 对照品 标准气体