欢迎光临:莱耀标准品网!
 您的位置:对照品 > 标准品 > dr标准品 >
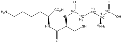
L-γ-Glutamyl-L-cysteinyl-L-lysine-13C5,15N
产品基本信息
产品编号:G597102
产品名称:L-γ-Glutamyl-L-cysteinyl-L-lysine-13C5,15N
产品CAS:
规格含量:10mg
产品价格:面议
联系我们:
产品详细介绍
标准品编号: G597102
名称: L-γ-Glutamyl-L-cysteinyl-L-lysine-13C5,15N
别名: N2-(N-L-γ-Glutamyl-L-cysteinyl)-L-lysine-13C5,15N;
参考CAS号: 类似: 128960-73-6
分子式: C₉¹³C₅H₂₆N₃¹⁵NO₆S
分子量: 384.4
种类: Research Tools;
应用: An isotopically labelled trapping agent, methods for detecting reactive metabolites and methods of identifying drug candidates. More specifically, the isotopically labelled trapping agent and methods for detecting reactive metabolites may be used to detect both “hard” and “soft” reactive metabolites, thereby eliminating false positives.
参考文献


2011-2018 信阳莱耀生物科技有限公司 @ 信阳埃尔文生物科技有限公司版权所有

中检所标准品,对照品,标准气体
Keywords: 中检所标准品 对照品 标准气体