欢迎光临:莱耀标准品网!
 您的位置:对照品 > 标准品 > dr标准品 >
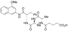
Glutaryl-Ala-Ala-Phe-4-methoxy-β-naphthylamide
产品基本信息
产品编号:G597500
产品名称:Glutaryl-Ala-Ala-Phe-4-methoxy-β-naphthylamide
产品CAS:79642-99-2
规格含量:100mg
产品价格:面议
联系我们:
产品详细介绍
标准品编号: G597500
名称: Glutaryl-Ala-Ala-Phe-4-methoxy-β-naphthylamide
别名: N-(4-Carboxy-1-oxobutyl)-L-alanyl-L-alanyl-N-(4-methoxy-2-naphthalenyl)-L-phenylalaninamide;
CAS号: 79642-99-2
分子式: C₃₁H₃₆N₄O₇
分子量: 576.64
种类: Standards; Phenethylamines/Amphetamines;
应用: A novel alkylamides of carboxyalkanoyl peptides which are capable of inhibiting elastase.
参考文献


2011-2018 信阳莱耀生物科技有限公司 @ 信阳埃尔文生物科技有限公司版权所有

中检所标准品,对照品,标准气体
Keywords: 中检所标准品 对照品 标准气体