您的位置:对照品 > 标准品 > dr标准品 > |
|
|
|
| 产品基本信息 |
|
| 产品编号:E650000 |
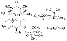
| 产品名称:Erythromycin Estolate |
| 产品CAS:3521-62-8 |
| 规格含量:500mg |
| 产品价格:面议 |
| 联系我们: |
|
|
|
|
|
| 产品详细介绍 |
| 标准品编号: |
E650000 |
| 名称: |
Erythromycin Estolate |
| 别名: |
Erythromycin 2'-propanoate Dodecyl Sulfate Salt |
| CAS号: |
3521-62-8 |
| 分子式: |
C₅₂H₉₇NO₁₈S |
| 外观: |
白色固体 |
| 熔点: |
135-140°C (dec.) |
| 分子量: |
1056.39 |
| 储存: |
-20°C Freezer |
| 溶解度: |
Acetone (Slightly), DMSO (Slightly), Methanol (Slightly) |
| 种类: |
Standards; Pharmaceutical/API Drug Impurities/Metabolites; |
| 应用: |
Used as an antibacterial agent. LD50 >5000 mg/kg for oral administration to rats. |
| 参考文献 |
|
|
|
|
|
|
|
|