欢迎光临:莱耀标准品网!
 您的位置:对照品 > 标准品 > dr标准品 >
(2R,3S,4R,5R,8R,10R,11R,12S,13S,14R)-13-[(2,6-Dideoxy-3-C-methyl-α-L-ribo-hexopy
产品基本信息
产品编号:D440155
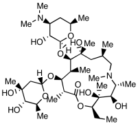
产品名称:(2R,3S,4R,5R,8R,10R,11R,12S,13S,14R)-13-[(2,6-Dideoxy-3-C-methyl-α-L-ribo-hexopy
产品CAS:620169-47-3
规格含量:2.5mg
产品价格:面议
联系我们:
产品详细介绍
标准品编号: D440155
名称: (2R,3S,4R,5R,8R,10R,11R,12S,13S,14R)-13-[(2,6-Dideoxy-3-C-methyl-α-L-ribo-hexopyranosyl)oxy]-2-ethyl-3,4,10-trihydroxy-3,5,6,8,10,12,14-heptamethyl-11-[[3,4,6-trideoxy-3-(dimethylamino)-β-D-xylo-hexopyranosyl]oxy]-1-oxa-6-azacyclopentadecan-15-one
别名: Azithromycin C
CAS号: 620169-47-3
分子式: C₃₇H₇₀N₂O₁₂
分子量: 734.96
种类: Standards; Pharmaceutical/API Drug Impurities/Metabolites; Antibotics;
应用: (2R,3S,4R,5R,8R,10R,11R,12S,13S,14R)-13-[(2,6-Dideoxy-3-C-methyl-α-L-ribo-hexopyranosyl)oxy]-2-ethyl-3,4,10-trihydroxy-3,5,6,8,10,12,14-heptamethyl-11-[[3,4,6-trideoxy-3-(dimethylamino)-β-D-xylo-hexopyranosyl]oxy]-1-oxa-6-azacyclopentadecan-15-one is a metabolite of Azithromycin (A927000) which is a semi-synthetic macrolide antibiotic; related to Erythromycin A. Antibacterial.
参考文献


2011-2018 信阳莱耀生物科技有限公司 @ 信阳埃尔文生物科技有限公司版权所有

中检所标准品,对照品,标准气体
Keywords: 中检所标准品 对照品 标准气体