欢迎光临:莱耀标准品网!
 您的位置:对照品 > 标准品 > dr标准品 >
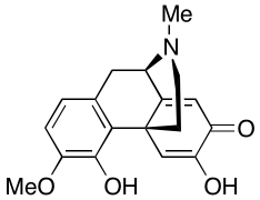
6-O-Demethylsalutaridine
产品基本信息
产品编号:D231420
产品名称:6-O-Demethylsalutaridine
产品CAS:27669-33-6
规格含量:10mg
产品价格:面议
联系我们:
产品详细介绍
标准品编号: D231420
名称: 6-O-Demethylsalutaridine
别名: 5,6,8,14-tetradehydro-4,6-dihydroxy-3-methoxy-17-methylmorphinan-7-one
CAS号: 27669-33-6
分子式: C₁₈H₁₉NO₄
外观: 白色固体
分子量: 313.35
储存: -20°C Freezer, Under inert atmosphere
溶解性: Chloroform, DCM, Methanol
种类: Standards; Pharmaceutical/API Drug Impurities/Metabolites; Natural Products;
应用: 6-O-Demethylsalutaridine is an intermediate in the synthesis of Salutaridine (S100640), one of the biosynthetic precursors of morphine (M652290), a principle alkaloid of opium.
参考文献


2011-2018 信阳莱耀生物科技有限公司 @ 信阳埃尔文生物科技有限公司版权所有

中检所标准品,对照品,标准气体
Keywords: 中检所标准品 对照品 标准气体