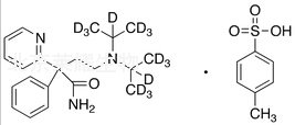
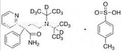
Disopyramide-d14 Tosylate Salt标准品
货号:D493452
英文名称:Disopyramide-d14 Tosylate Salt
别名:α-[2-[Bis(1-methylethyl-d7)amino]ethyl]-α-phenyl-2-pyridineacetamideTosylate Salt; α-[2-[Di-(isopropyl-d7)-amino]ethyl]-α-phenyl-2-pyridineacetamide Tosylate Salt; Dicorantil-d14 Tosylate Salt;Lispine-d14 Tosylate Salt;
规格:1mg,10mg
结构式:

CAS号:1216989-88-6
分子式:C28H23D14N3O4S
分子量:525.76
产品类别:莱耀生物标准品,北京莱耀生物提供
注:产品名称以英文名称为准
|