欢迎光临:莱耀标准品网!
 您的位置:对照品 > 标准品 > 英国药典 >
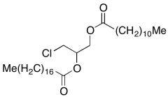
rac-1-Lauroyl-2-Stearoyl-3-chloropropanediol
产品基本信息
产品编号:L178535
产品名称:rac-1-Lauroyl-2-Stearoyl-3-chloropropanediol
产品CAS:
规格含量:25mg
产品价格:面议
联系我们:
产品详细介绍
标准品编号: L178535
名称: rac-1-Lauroyl-2-Stearoyl-3-chloropropanediol
分子式: C₃₃H₆₃ClO₄
外观: 白色至Off-White Low Melting Solid
分子量: 559.3
储存: -20°C Freezer, Under inert atmosphere
溶解度: Chloroform (Slightly), Ethyl Acetate (Slightly)
种类: Building Blocks; Lipids/Fatty Acids, Glycerol Derivatives;
应用: Lauroyl-Stearoyl-3-chloropropanol is a useful intermediate.
参考文献


2011-2018 信阳莱耀生物科技有限公司 @ 信阳埃尔文生物科技有限公司版权所有

中检所标准品,对照品,标准气体
Keywords: 中检所标准品 对照品 标准气体