Pantothenic Acid-13C3,15N Hemicalcium Salt标准品
货号:P190302
英文名称:Pantothenic Acid-13C3,15N Hemicalcium Salt
别名:N-[(2R)-2,4-Dihydroxy-3,3-dimethyl-1-oxobutyl]-β-alanine-13C3,15N Hemicalcium; (+)-Pantothenic Acid-13C3,15N Hemicalcium; (D)-(+)-Pantothenic Acid-13C3,15N Hemicalcium; D(+)-N-(2,4-Dihydroxy-3,3-dimethylbutyryl)-β-alanine-13C3,15N Hemicalcium; D-Pantothenic Acid-13C3,15N Hemicalcium; Pantothenic Acid-13C3,15N Hemicalcium; Vitamin B3-13C3,15N Hemicalcium; Vitamin B5-13C3,15N Hemicalcium;
规格:1mg,10mg
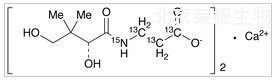
结构式:

CAS号:356786-94-2
分子式:C1213C6H32Ca15N2O10
分子量:484.37
产品类别:莱耀生物标准品,北京莱耀生物提供
注:产品名称以英文名称为准
|