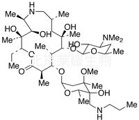
托拉菌素A标准品
货号:T897150
英文名称:Tulathromycin A
别名: (2R,3S,4R,5R,8R,10R,11R,12S,13S,14R)-13-[[2,6-Dideoxy-3-C-methyl-3-O-methyl-4-C-[(propylamino)methyl]-α-L-ribo-hexopyranosyl]oxy]-2-ethyl-3,4,10-trihydroxy-3,5,8,10,12,14-hexamethyl-11-[[3,4,6-trideoxy-3-(dimethylamino)-β-D-xylo-hexopyranosyl]oxy]-1-oxa-6-azacyclopentadecan-15-one; CP 472295; Draxxin; Tulathromycin;
规格:10mg,100mg
结构式:

CAS号:217500-96-4
分子式:C41H79N3O12
分子量:806.08
产品类别:莱耀生物标准品,北京莱耀生物提供
注:产品名称以英文名称为准
|