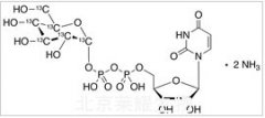
Uridine 5'-Diphospho-α-D-glucose-13C6 Diammonium Salt标准品
货号:U829957
英文名称:Uridine 5'-Diphospho-α-D-glucose-13C6 Diammonium Salt
别名:Uridine 5’-(Trihydrogen Diphosphate) P’-(α-D-Glucopyranosyl-13C6) Ester Diammonium Salt; Uridine Diphosphate Glucose-13C6 Diammonium Salt
规格:25mg,100mg
结构式:

CAS号:904293-00-1
分子式:C15H30N4O17P2
分子量:606.32
产品类别:莱耀生物标准品,北京莱耀生物提供
注:产品名称以英文名称为准
|