盐酸维拉帕米标准品
货号:V125000
英文名称:Verapamil Hydrochloride
别名:α-[3-[[2-(3,4-Dimethoxyphenyl)ethyl]methylamino]propyl]-3,4-dimethoxy-α-(1-methylethyl)-benzeneacetonitrile Hydrochloride; Berkatens; Calan; Cardibeltin; Dignover; Isoptin; Veracim; Veramex; Zolvera;
规格:5g
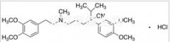
结构式:

CAS号:152-11-4
分子式:C27H39ClN2O4
分子量:491.06
产品类别:莱耀生物标准品,莱耀生物提供
注:产品信息以英文名称为准
|