您的位置:对照品 > 标准品 > 英国药典 > |
|
|
|
| 产品基本信息 |
|
| 产品编号:I155400 |
| 产品名称:富马酸伊布利特标准品 |
| 产品CAS:122647-32-9 |
| 规格含量:10mg,100mg |
| 产品价格:1600元,12000元 |
| 联系我们: |
|
|
|
|
|
| 产品详细介绍 |
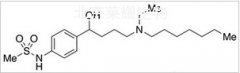
富马酸伊布利特标准品
货号:I155400
英文名称:Ibutilide Fumarate
别名: (+/-)-N-[4-[4-(Ethylheptylamino)-1-hydroxybutyl]phenyl]methanesulfonamide Fumarate; Corvert; U 7022
规格:10mg,100mg
结构式:

CAS号:122647-32-9
分子式:C22H38N2O5S
分子量:442.61
产品类别:莱耀生物标准品,莱耀生物提供
注:产品信息以英文名称为准
|
|
|
|
|