欢迎光临:莱耀标准品网!
 您的位置:对照品 > 标准品 > 英国药典 >
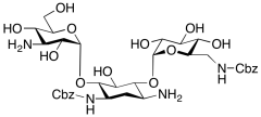
5,6’-Di(N-Benzyloxycarbonyl) Kanamycin A
产品基本信息
产品编号:D418060
产品名称:5,6’-Di(N-Benzyloxycarbonyl) Kanamycin A
产品CAS:
规格含量:25mg
产品价格:面议
联系我们:
产品详细介绍
标准品编号: D418060
名称: 5,6’-Di(N-Benzyloxycarbonyl) Kanamycin A
分子式: C₃₄H₄₈N₄O₁₅
外观: 白色固体
分子量: 752.76
溶解性: DMF
种类: Standards; Carbohydrates and Oligosaccharides;
应用: 5,6’-Di(N-Benzyloxycarbonyl) Kanamycin A is an Amikacin (A578500) impurity A.
参考文献


2011-2018 信阳莱耀生物科技有限公司 @ 信阳埃尔文生物科技有限公司版权所有

中检所标准品,对照品,标准气体
Keywords: 中检所标准品 对照品 标准气体