欢迎光临:莱耀标准品网!
 您的位置:对照品 > 标准品 > 英国药典 >
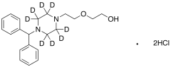
Decloxizine-d8 Dihydrochloride
产品基本信息
产品编号:D226852
产品名称:Decloxizine-d8 Dihydrochloride
产品CAS:1329836-11-4
规格含量:10mg
产品价格:面议
联系我们:
产品详细介绍
标准品编号: D226852
名称: Decloxizine-d8 Dihydrochloride
别名: 2-[2-[4-(Diphenylmethyl)-1-(piperazinyl-d8)]ethoxy]ethanol Hydrochloride; 1-[2-(2-Hydroxyethoxy)ethyl]-4-α-phenylbenzyldiethylenediamine-d8 Dihydrochloride; Autokar-d8; Hydroxydiethylphenamine-d8; Rescupal-d8; UCB 1402-d8;
CAS号: 1329836-11-4
参考CAS号: 类似: 13073-96-6
分子式: C₂₁H₂₂D₈Cl₂N₂O₂
分子量: 421.43
种类: Standards; Isotopic Labeled Analogues; Pharmaceutical/API Drug Impurities/Metabolites;
应用: Labelled Hydroxyzine (H996500) impurity.
参考文献


2011-2018 信阳莱耀生物科技有限公司 @ 信阳埃尔文生物科技有限公司版权所有

中检所标准品,对照品,标准气体
Keywords: 中检所标准品 对照品 标准气体