欢迎光临:莱耀标准品网!
 您的位置:对照品 > 标准品 > 英国药典 >
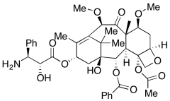
De-boc Cabazitaxel
产品基本信息
产品编号:D206000
产品名称:De-boc Cabazitaxel
产品CAS:1638286-64-2
规格含量:10mg
产品价格:面议
联系我们:
产品详细介绍
标准品编号: D206000
名称: De-boc Cabazitaxel
CAS号: 1638286-64-2
分子式: C₄₀H₄₉NO₁₂
外观: 白色固体
熔点: >103°C (dec.)
分子量: 735.82
储存: Hygroscopic, -20°C Freezer, Under inert atmosphere
溶解性: DMSO (Slightly), Methanol (Slightly)
种类: Building Blocks; Chiral Molecules; Enzyme Activators and Inhibitors; Pharmaceutical/API Drug Impurities/Metabolites; Semi-Synthetic;
应用: De-Boc Cabazitaxel is an impurity of Cabazitaxel (C046500) which is a novel semi-synthetic taxane with antitumor activity used for the treatment of castration-resistant prostate cancer.
参考文献


2011-2018 信阳莱耀生物科技有限公司 @ 信阳埃尔文生物科技有限公司版权所有

中检所标准品,对照品,标准气体
Keywords: 中检所标准品 对照品 标准气体