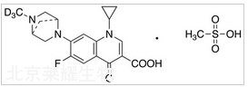
甲磺酸达氟沙星-d3标准品
货号:D153402
英文名称:Danofloxacin-d3 Mesylate
别名:1-Cyclopropyl-6-fluoro-1,4-dihydro-7-[(1S,4S)-5-(methyl-d3)-2,5-diazabicyclo[2.2.1]hept-2-yl]-4-oxo-
规格:1mg,10mg
结构式:

CAS号:1217860-94-0
分子式:C20H21D3FN3O6S
外观:白色至Light Tan Solid
产品类别:莱耀生物标准品,莱耀生物提供
注:产品信息以英文名称为准
|