欢迎光临:莱耀标准品网!
 您的位置:对照品 > 标准品 >
2-Benzotriazolyl-4-tert-octylphenol-13C6
产品基本信息
产品编号:B207012
产品名称:2-Benzotriazolyl-4-tert-octylphenol-13C6
产品CAS:
规格含量:1mg
产品价格:4000元
联系我们:
产品详细介绍

  2-苯并三唑基-4-叔辛基苯酚-13C6标准品

  货号:B207012
  英文名称:2-Benzotriazolyl-4-tert-octylphenol-13C6
  别名:1268VIP(LA)13C6; 2-(2-Hydroxy-5-t-octylphenyl)-2H-benzotriazole-13C6; 2-(2-Hydroxy-5-t-octylphenyl)benzotriazole-13C6; 2-(2-Hydroxy-5-tert-octylphenyl)-2H-benzotriazole-13C6; 2-(2-Hydroxy-5-tert-octylphenyl)benzotriazole-13C6; 2-(2H-Benzotriazol-2-yl)-4-(1,1,3,3-tetramethylbutyl)phenol-13C6; 2-(2H-Benzotriazol-2-yl)-4-(2,4,4-trimethylpentan-2-yl)phenol-13C6; 2-(2H-Benzotriazol-2-yl)-4-tert-octylphenol-13C6; 2-(2H-Benzotriazole-2-yl)-4-(1,1,3,3-tetramethylbutyl)phenol-13C6; 2-(2’-Hydroxy-5’-tert-octylphenyl)benzotriazole-13C6; 2-(2’-Hydroxy-5’-tert-octylphenyl)benztriazole-13C6; 2-(5-t-Octyl-2-hydroxyphenyl)benzotriazole-13C6; 2-(5’-tert-Octyl-2’-hydroxyphenyl)benzotriazole-13C6; 2-[2’-Hydroxy-5’-(1,1,3,3-tetramethylbutyl)phenyl]benzotriazole-13C6; Chisorb 5411-13C6; Cyasorb 5411
  规格:1mg
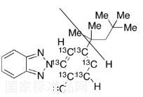
  结构图:
2-Benzotriazolyl-4-tert-octylphenol-13C6
  分子式:C₁₄¹³C₆H₂₅N₃O
  分子量:329.39
  产品类别:进口标准品,【莱耀生物】提供
注:搜索产品名称、编号、cas号即可显示价格


2011-2018 信阳莱耀生物科技有限公司 @ 信阳埃尔文生物科技有限公司版权所有

中检所标准品,对照品,标准气体
Keywords: 中检所标准品 对照品 标准气体