红霉素A 9,11-亚氨基醚标准品
货号:E650025
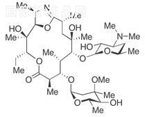
英文名称:Erythromycin A 9,11-Imino Ether
别名: [1R-(1R*,2R*,3R*,6R*,7S*,8S*,9R*,10R*,12R*,15R*)]-7-[(2,6-Dideoxy-3-C-methyl-3-O-methyl-α-L-ribo-hexopyranosyl)oxy]-3-ethyl-2,10-dihydroxy-2,6,8,10,12,15-hexamethyl-9-[[3,4,6-trideoxy-3-(dimethylamino)-β-D-xylo-hexopyranosyl]oxy]-4,16-dioxa-14-azabicyclo[11.2.1]hexadec-13-en-5-one; (1R,2R,3R,6R,7S,8S,9R,10R,12R,15R)-7-[(2,6-Dideoxy-3-C-methyl-3-O-methyl-α-L-ribo-hexopyranosyl)oxy]-3-ethyl-2,10-dihydroxy-2,6,8,10,12,15-hexamethyl-9-[[3,4,6-trideoxy-3-(dimethylamino)-β-D-xylo-hexopyranosyl]oxy]-4,,16-Dioxa-14-azabicyclo[11.2.1]hexadec-13-en-5-one
规格:1mg
结构图:

CAS号:161193-44-8
分子式:C₃₇H₆₆N₂O₁₂
分子量:730.93
产品类别:进口标准品,【莱耀生物】提供
注:搜索产品即可显示产品价格
|