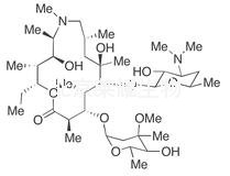
阿奇霉素B标准品
货号:A927005
英文名称:Azithromycin B
别名: (2R,3R,4R,5R,8R,10R,11R,12R,13S,14R)-13-[(2,6-Dideoxy-3-C-methyl-3-O-methyl-α-L-ribo-hexopyranosyl)oxy]-2-ethyl-4,10-dihydroxy-3,5,6,8,10,12,14-heptamethyl-11-[[3,4,6-trideoxy-3-(dimethylamino)-β-D-xylo-hexopyranosyl]oxy]-1-Oxa-6-azacyclopentadecan-15-one;
规格:0.5mg
结构图:

CAS号:307974-61-4
分子式:C₃₈H₇₂N₂O₁₁
分子量:732.99
产品类别:标准对照品,北京莱耀生物提供
注:产品名称以英文名称为准
|