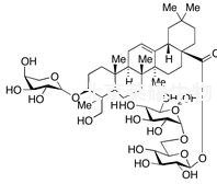
川续断皂苷VI标准品
货号:A788600
英文名称:Asperosaponin VI
别名:Hederagenin 3-O-α-L-arabinopyranosyl-28-β-D-glucopyranosyl(1→6)-β-D-glucopyranoside
Leiyemudanoside A; Tauroside St-G0-1; -O-α-L-Arabinopyranosylhederagenin 28-O-β-D-glucopyranosyl-(1→6)-β-D-glucopyranoside
Akebia Saponin D;
规格:10mg
结构图:

CAS号:39524-08-8
分子式:C₄₇H₇₆O₁₈
分子量:929.1
产品类别:标准对照品,北京莱耀生物提供
|