琼脂标准品
货号:A425600
英文名称:Agar
别名:Agar-agar (8CI); AX 100; AX 200; AX 200F; AX 30; Agar 150C; Agar Agar Flake; Agargel; Agaron gel; Agaropectin, mixt. with agarose; Agarose, mixt. with agaropectin; Bacto-agar; Bengal gelatin; Bengal isinglass; CS 110; CS-16A; Ceylon isinglass; Chinese isinglass; Czapeck agar; D 100; D 100 (polysaccharide); Deltagar LTS; Digenea simplex mucilage; E 406; GAM medium; Gel Up J 1630; Gel Up J 3762; Gelose; Hygicult TPC; Ina Agar CS 420; Ina Agar CS 670; Ina Agar DJ 100; Ina Agar Karikorikan; Ina Agar M 8; Ina Agar S 5; Ina Agar S 7; Ina Agar UP 37; Ina Agar UP 37CS; Ina Agar Z 10; Ina Agar ZR; Inagel N 41S; Inagel N 6; Japan agar; Japan isinglass; Kantenmatsu; LX 30; Layor Carang; Luxara 1253; M 7; MRO-FV 2000; Max; Neosoft AR; Neosoft AR 132; Oxoid III; Oxoid L 11; PS 10; PS 7; PS 96; Phytagar
规格:50g
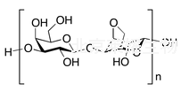
结构图:

CAS号:9002-18-0
产品类别:标准对照品,北京莱耀生物提供
注:产品名称以英文名称为准
|