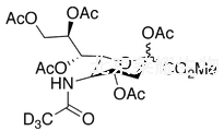
N-Acetylneuraminic Acid Methyl Ester 2,4,7,8,9-Pentaacetate-d3标准品
货号:A187032
英文名称:N-Acetylneuraminic Acid Methyl Ester 2,4,7,8,9-Pentaacetate-d3
别名:5-(Acetylamino)-3,5-dideoxy-D-glycero-D-galacto-2-nonulopyranosonic Acid Methyl Ester 2,4,7,8,9-Pentaacetate-d3;
规格:1mg,10mg
结构图:

CAS号:950508-99-3
分子式:C₂₂H₂₈D₃NO₁₄
分子量:536.5
产品类别:标准对照品,北京莱耀生物提供
注:产品名称以英文名称为准
|