欢迎光临:莱耀标准品网!
 您的位置:对照品 > 标准品 >
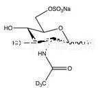
N-(Acetyl-d3)-D-glucosamine 6-Sulfate Sodium Salt
产品基本信息
产品编号:A178212
产品名称:N-(Acetyl-d3)-D-glucosamine 6-Sulfate Sodium Salt
产品CAS:
规格含量:1mg,10mg
产品价格:2700元,21000元
联系我们:
产品详细介绍

  N-(Acetyl-d3)-D-glucosamine 6-Sulfate Sodium Salt标准品

  货号:A178212
  英文名称:N-(Acetyl-d3)-D-glucosamine 6-Sulfate Sodium Salt
  别名:2-(Acetylamino-d3)-2-deoxy-D-glucose 6-(Hydrogen Sulfate) Monosodium Salt;
  规格:1mg,10mg
  结构图:
标准品
  分子式:C₈H₁₁D₃NNaO₉S
  分子量:326.27
  产品类别:标准对照品,北京莱耀生物提供
  注:产品名称以英文名称为准


2011-2018 信阳莱耀生物科技有限公司 @ 信阳埃尔文生物科技有限公司版权所有

中检所标准品,对照品,标准气体
Keywords: 中检所标准品 对照品 标准气体