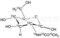
N-[1,2-13C2]Acetyl-D-[UL-13C6,15N]glucosamine标准品
货号:A178015
英文名称:N-[1,2-13C2]Acetyl-D-[UL-13C6,15N]glucosamine
别名:2-[1,2-13C2,15N]Acetamido-2-deoxy-D-[UL-13C6]glucose
规格:1mg,10mg
结构图:

CAS号:478529-44-1
分子式:¹³C₈H₁₅¹⁵NO₆
分子量:230.13
产品类别:标准对照品,北京莱耀生物提供
注:产品名称以英文名称为准
|