L-threo-Dihydrosphingosine标准品
货号:D151740
英文名称:L-threo-Dihydrosphingosine
别名: (2S,3S)-2-Amino-1,3-octadecanediol; L-threo-2-Amino-1,3-octadecanediol; [S-(R*,R*)]-2-Amino-1,3-octadecanediol; (-)-threo-Dihydrosphingosine; L-(-)-threo-Sphinganine; SPC 100270; Safingol
规格:10mg,100mg
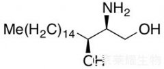
结构式:

CAS号:15639-50-6
分子式:C18H39NO2
分子量:301.51
产品类别:莱耀生物标准品,北京莱耀生物提供
注:产品名称以英文名称为准
|