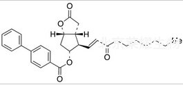
(3aR,4R,5R,6aS)-Hexahydro-5-hydroxy-4-(3-oxo-1-decenyl)-2H-cyclopenta[b]furan-2-one 5-(4-Phenylbenzoate)标准品
货号:H294035
英文名称: (3aR,4R,5R,6aS)-Hexahydro-5-hydroxy-4-(3-oxo-1-decenyl)-2H-cyclopenta[b]furan-2-one 5-(4-Phenylbenzoate)
别名: [3aR-[3aα,4α(E),5β,6aα]]-[1,1�-Biphenyl]-4-carboxylic Acid Hexahydro-2-oxo-4-(3-oxo -1-decenyl)-2H-cyclopenta[b]furan-5-yl Ester;
规格:25mg,250mg
结构式:

CAS号:39865-76-4
分子式:C30H34O5
分子量:474.59
产品类别:莱耀生物标准品,北京莱耀生物提供
注:产品名称以英文名称为准
|