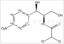
氯霉素-13C6标准品
货号:C325032
英文名称:Chloramphenicol-13C6
别名:2,2-Dichloro-N-[(1R,2R)-2-hydroxy-1-(hydroxymethyl)-2-(4-nitrophenyl-13C6)ethyl]Acetamide; D-threo-N-Dichloroacetyl-1-p-nitro(phenyl-13C6)-2-amino- 1,3-propanediol; Anacetin-13C6; Aquamycetin-13C6; Chlorocid-13C6;
规格:10mg
结构式:

CAS号:1217706-02-9
分子式:C513C6H12Cl2N2O5
分子量:329.09
产品类别:莱耀生物标准品,北京莱耀生物提供
注:产品名称以英文名称为准
|