欢迎光临:莱耀标准品网!
 您的位置:对照品 > 标准品 >
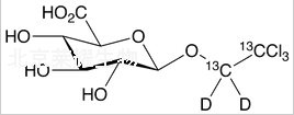
Trichloroethyl-13C2,d2 β-D-Glucuronide
产品基本信息
产品编号:T774112
产品名称:Trichloroethyl-13C2,d2 β-D-Glucuronide
产品CAS:
规格含量:0.5mg,5mg
产品价格:6200元,50000元
联系我们:
产品详细介绍

  Trichloroethyl-13C2,d2 β-D-Glucuronide标准品

  货号:T774112
  英文名称:Trichloroethyl-13C2,d2 β-D-Glucuronide
  别名:2,2,2-Trichloroethyl-13C2,d2 β-D-Glucopyranosiduronic Acid; 2,2,2-Trichloroethanol-13C2,d2 Glucuronide; Urochloralic Acid-13C2,d2 ; β,β,β-Trichloroethyl-13C2,d2 -β-D-glucuronic Acid;
  规格:0.5mg,5mg
  结构式:
标准品
  分子式:C613C2H9D2Cl3O7
  分子量:329.53
  产品类别:莱耀生物标准品,北京莱耀生物提供
  注:产品名称以英文名称为准


2011-2018 信阳莱耀生物科技有限公司 @ 信阳埃尔文生物科技有限公司版权所有

中检所标准品,对照品,标准气体
Keywords: 中检所标准品 对照品 标准气体