您的位置:对照品 > 标准物质 > 质控品 > |
|
|
|
| 产品基本信息 |
|
| 产品编号:D291575 |
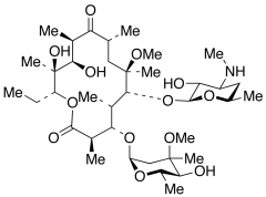
| 产品名称:N-Desmethyl Clarithromycin |
| 产品CAS:101666-68-6 |
| 规格含量:5mg |
| 产品价格:面议 |
| 联系我们: |
|
|
|
|
|
| 产品详细介绍 |
| 标准品编号: |
D291575 |
| 名称: |
N-Desmethyl Clarithromycin |
| 别名: |
N-Demethyl-6-O-methylerythromycin; 3"-N-Demethylclarithromycin; N-(Desmethyl)clarithromycin; N-Demethylclarithromycin; USP Clarithromycin Impurity D; Clarithromycin EP Impurity D |
| 杂质: |
Clarithromycin EP Impurity D |
| CAS号: |
101666-68-6 |
| 分子式: |
C₃₇H₆₇NO₁₃ |
| 外观: |
白色至白色固体 |
| 熔点: |
200-2020C |
| 分子量: |
733.93 |
| 储存: |
-20°C Freezer |
| 溶解性: |
Chloroform (Slightly), Methanol (Slightly) |
| 种类: |
Standards; Chiral Molecules; Pharmaceutical/API Drug Impurities/Metabolites; |
| 应用: |
N-Desmethyl Clarithromycin (Clarithromycin EP Impurity D) is a metabolite of Clarithromycin (C559750). |
| 参考文献 |
|
|
|
|
|
|
|
|