欢迎光临:莱耀标准品网!
 您的位置:对照品 > 标准物质 > 质控品 >
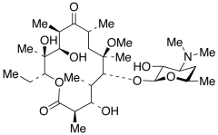
De(cladinosyl) Clarithromycin
产品基本信息
产品编号:D226750
产品名称:De(cladinosyl) Clarithromycin
产品CAS:118058-74-5
规格含量:50mg
产品价格:面议
联系我们:
产品详细介绍
标准品编号: D226750
名称: De(cladinosyl) Clarithromycin
别名: 3-O-De(2,6-dideoxy-3-C-methyl-3-O-methyl-α-L-ribo-hexopyranosyl)-6-O-methylerythromycin; 5-O-Desosaminyl-6-O-methylerythronolide A; 3-O-Decladinosyl-6-O-methylerythronolide A; Clarithromycin EP Impurity I
杂质: Clarithromycin EP Impurity I
CAS号: 118058-74-5
分子式: C₃₀H₅₅NO₁₀
外观: 白色固体
熔点: 154-157°C
分子量: 589.76
储存: Hygroscopic, -20ËšC Freezer, Under Inert Atmosphere
溶解性: Chloroform (Slightly), Methanol (Slightly)
种类: Standards; Chiral Molecules; Pharmaceutical/API Drug Impurities/Metabolites;
应用: De(cladinosyl) Clarithromycin (Clarithromycin EP Impurity I) is an impurity of Clarithromycin (C559750). De(cladinosyl) Clarithromycin showed significantly potent antibacterial activity against community acquired respiratory pathogens.
参考文献


2011-2018 信阳莱耀生物科技有限公司 @ 信阳埃尔文生物科技有限公司版权所有

中检所标准品,对照品,标准气体
Keywords: 中检所标准品 对照品 标准气体