欢迎光临:莱耀标准品网!
 您的位置:对照品 > 标准物质 > 铁标准物质 >
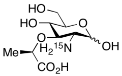
Muramic Acid-15N
产品基本信息
产品编号:M800002
产品名称:Muramic Acid-15N
产品CAS:
规格含量:5mg
产品价格:面议
联系我们:
产品详细介绍
标准品编号: M800002
名称: Muramic Acid-15N
别名: (R)-2-Amino-3-O-(1-carboxyethyl)-2-deoxy-D-glucose-15N
参考CAS号: 1114-41-6 unlabelled
分子式: C₉H₁₇¹⁵NO₇
分子量: 252.23
种类: Standards; Isotopic Labeled Analogues; Carbohydrates and Oligosaccharides;
应用: Muramic Acid-15N is labelled Muramic Acid (M800000), an amino sugar found (as the N-acetyl derivative) in peptidoglycan. Muramic Acid is the main skeletal component of the bacterial cell wall. The N-acetyl derivative of muramic acid is an amino sugar that constitutes the peptidoglycan bacterial cell wall of Gram negative and Gram positive bacteria. Muramic acid is used as a chemical marker for the detection of bacterial contamination.
参考文献


2011-2018 信阳莱耀生物科技有限公司 版权所有

中检所标准品,对照品,标准气体
Keywords: 中检所标准品 对照品 标准气体